改良版现货干细胞药物改善血糖水平,让胰岛素用量减少44%,摆脱胰岛素或许只是时间问题
“1型糖尿病迎来治疗新策略!近日,美国再生医学公司基于干细胞技术,研发了一种微型“胰岛素生产工厂”,当其被移植到患者体内,可调控血糖水平,让患者每日胰岛素用量降低44%!是治疗糖尿病的又一潜力疗法。
胰岛素的发现改变了糖尿病患者“确诊即死亡”的命运,却也让他们走进了另一个疾病“围城”。
尤其是罹患1型糖尿病(T1D)的“糖友”,发病时他们大多还是孩子,已经要忍受日复一日的扎针、测血糖、外源性胰岛素注射。这条治疗之路望不到尽头,低血糖与并发症的威胁也会一直如影随形。因此,如何长效、精准、稳定地调控血糖是当今治疗糖尿病面临的一大挑战。来自比利时布鲁塞尔自由大学糖尿病研究中心的科学家联合再生医学公司研究团队决心研发一种干细胞新疗法——将封装干细胞衍生胰岛β细胞的装置移植到T1D患者体内,以替代胰岛细胞产生胰岛素,实现长期治疗。经临床研究证实:这种疗法确能控制血糖,减少每日胰岛素注射的需要。成为T1D患者摆脱胰岛素的又一潜力疗法。
![图片[1]-改良版现货干细胞药物改善血糖水平,让胰岛素用量减少44%-Hypeptide](https://pharmcube-bydrug.oss-cn-beijing.aliyuncs.com/info/message_cn_img/6d3aab1b7d3a7fba83ead82d0e038e48.png)
△文章[1]被刊登于《Nature Biotechnology》(影响因子:46.9)
参与此项论文研究、温哥华试验中心的首席研究员和温哥华综合医院糖尿病中心主任David Thompson博士对此种药物的未来充满信心,他说:“这是第一次,一种基于干细胞的装置可以减少1型糖尿病患者的胰岛素用量。待这种方法进一步完善,找到一种可以完全消除每日胰岛素注射需求的疗法只是时间问题。”
01
胰岛素用量降低44%
新干细胞疗法有效控制血糖
这种疗法的理念其实算不上“全新”。1型糖尿病患者之所以患病,是因为他们的胰岛β细胞被自身免疫性攻击伤害,以致无法分泌足够的胰岛素,秉承着“缺啥补啥”的原则,在很久之前,就有研究者将健康者的胰岛细胞移植“替换”给病患,让患者的血糖控制近乎正常化,但这与“移植一个器官”并无二致,患者同时面临着供体细胞短缺与需要长期进行免疫抑制治疗的问题,因此并未被广泛使用。转机出现在干细胞技术蒸蒸日上的今天,作为一类原始细胞,干细胞保留着很强的分化潜能,能在合适的诱导下分化为可分泌胰岛素的β细胞,去补足胰岛β细胞的空缺。这也是比利时布鲁塞尔自由大学研究者们的实验基础,在利用多能干细胞顺利衍生胰岛β细胞后,他们将这些细胞封装入一个装置当中——说是封装,但其实装置表面还有一些穿孔,可以让毛细血管向内生长以提高细胞的存活率——它像一个微型的胰岛素生产“工厂”,帮助患者重建健康胰腺的血糖调节功能。![图片[2]-改良版现货干细胞药物改善血糖水平,让胰岛素用量减少44%-Hypeptide](https://pharmcube-bydrug.oss-cn-beijing.aliyuncs.com/info/message_cn_img/6bd39dc416d49fe0ae283c13516c346d.png)
△PEC-Direct 植入装置示意
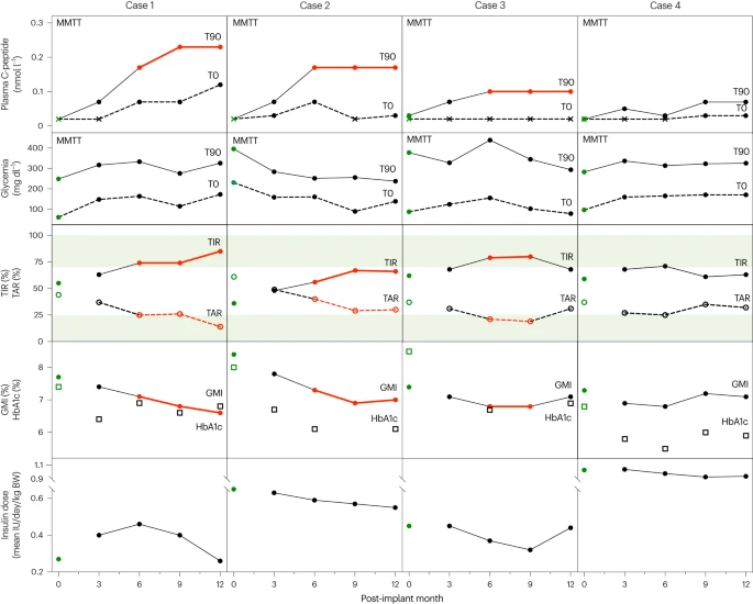
这个“生产工厂”首先被移植到了免疫受损的小鼠和大鼠体内,并起到了长久控制血糖的效果,这让研究者振奋,他们期望将这种植入装置开发成为一款名为“PEC-Direct”的产品。不过与很多疗法一样,PEC-Direct治疗T1D患者的初期临床实验并不顺利,出现了胰岛素的供给量不足以获得临床益处的“挫折”。但研究者坚信道路方向的正确,他们将探索重点转向了优化植入装置或植入策略,并就此开展了一项开放标签、多中心、旨在优化细胞植入的 1/2 期临床试验。——也就是我们在《Nature Biotechnology》看到的这一篇,共有10名自身已无法产生胰岛素的T1D患者加入研究组。这一次,研究者优化了膜穿孔密度与模式,并在其中植入了比原来多出2-3倍的细胞剂量。他们持续随访病患一年,每过3个月,都会通过膳食刺激的血浆C肽水平来检测患者的β细胞功能,并持续检测他们的血糖与胰岛素用量。
![图片[3]-改良版现货干细胞药物改善血糖水平,让胰岛素用量减少44%-Hypeptide](https://pharmcube-bydrug.oss-cn-beijing.aliyuncs.com/info/message_cn_img/e0648777c4e540224240b8c7e6d8d709.png)
△PEC-Direct 植入物的T1D受者达到植入功能疗效终点的血糖控制标志物
最终研究显示:10名接受者中有4名在第6个月时达到了可检测血浆C肽的主要终点。其中3名患者血浆C肽从第6个月起达到≥0.1nmol l⁻¹(该数值被认为是具有代谢意义的阈值)的水平,证明植入装置有控制血糖的作用。一名患者的葡萄糖目标范围时间 (TIR) 更是从约55%提高到85%,每天胰岛素的用量减少了44%。这是个充满希望的结果,Thompson博士说:“我们设想未来1型糖尿病患者能够过上不需要每天注射胰岛素和免疫抑制药物的生活。现在,这一未来已经触手可及。”
02
一次移植终身治疗?
干细胞疗法有望改变游戏规划
“再生医学或许能改变糖尿病的治疗规则”——随着干细胞技术的发展,很多科学家坚定了这样的念头并为之努力。目前,基于干细胞治疗糖尿病有多种在研策略,其共同点在于期望替代患者受损的胰岛细胞,帮助患者分泌胰岛素。围绕T1D,福泰制药旗下包括PEC-Direct有三个在研产品,布局了两条产品管线,分别是VX880与VX264。前者曾让一位患者的胰岛素用量降低91%,几乎与胰岛素Say Goodbye。而在今年6月23日,VX880的1/2期临床数据也被公布:6名接受了VX-880治疗的1型糖尿病患者,均在不同程度上恢复了胰岛素分泌,血糖得到改善。后者则是一种细胞疗法和医疗器械的组合。回望国内,北京大学干细胞研究中心主任邓宏魁领衔的研究团队也完成了国际首例化学重编程诱导多潜能干细胞(CiPSC)分化的胰岛样细胞移植手术。
![图片[4]-改良版现货干细胞药物改善血糖水平,让胰岛素用量减少44%-Hypeptide](https://pharmcube-bydrug.oss-cn-beijing.aliyuncs.com/info/message_cn_img/4ef72637dfe99862f26049bdc4c029b1.png)
△邓宏魁接受央视采访
一名有着11年病史,依赖胰岛素生活的T1D患者在接受细胞移植后,空腹C肽由移植术前的<0.02ng/ml上升至0.31ng/ml,移植后第10天,每日胰岛素需要量已经降低至移植前的一半!据称,随着移植的胰岛细胞进一步获得功能成熟,这一数字还有望再度刷新。
种种研究似乎都在指向未来治疗糖尿病的另一种可能——T1D患者不需要再频繁地注射胰岛素,一次移植或注射可抵一年、十年、甚至是终身的治疗。这是T1D患者走出慢性病围城的希望,也是无数科学家迈进的方向。
FUTURE
展望
“摆脱胰岛素”是万千糖尿病患者们一直的愿望,如今干细胞疗法承接住了这种期许,点燃了新的希望之灯,我们也相信在各路科学家的努力与临床研究的开展之下,突破之日已然不远。
参考资料:
[1]Encapsulated stem cell–derived β cells exert glucose control in patients with type 1 diabetes.https://www.nature.com/articles/s41587-023-02055-5.
[2]https://www.vrtx.com/our-science/pipeline/type-1-diabetes/.












